-Roscas.
É o elemento mais comum de fixação que se trata de uma “hélice de avanço” que faz com que o parafuso, quando rosqueado, avance para dentro da rosca preenchendo o espaço de hélice, podendo ser de dois tipos: externa ou interna.
Serie grossa: mais comumente usada e recomendada para aplicações de colocação e remoção repetitiva, além de ser eficiente para rosqueamento em material mole.
Serie fina: são mais resistentes afrouxamento devido a vibrações.
Serie ultrafina: espessura da parede limitada.
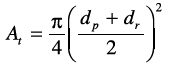
-Área sob Tração.
Onde, para o perfil UNS:
N sendo o número de filetes por polegadas.
A tensão em uma barra rosqueada se dá pela relação:
-Parafusos de Potência.
Também conhecidos como parafusos de avanço, tem função em converter movimento rotativo em linear, um exemplo de aplicação são os macacos mecânicos.
Rosca quadrada: fornece máxima eficiência e rigidez, porém complicada fabricação.
Rosca Acme: mais facilidade de fabricação por causa do ângulo, além de eficiência de aperto e de carga.
Rosca de botaréu: possui maior resistência na raiz.
Para uma rosca quadrada onde a mesma pode ser “idealizada” como um bloco em um plano inclinado, analiticamente, a inclinação do plano é denominada de ângulo de avanço λ.
Desse modo o somatório de forças se dá como:
De forma análoga, para parafuso Acme:
Parafuso-porca: 0,05 a 0,15;
Mancais como arruelas: 0,01 a 0,02;
O termo de autotravamento se refere ao fato de mesmo sendo aplicada uma força axial grande, não consegue “afrouxar” o parafuso ou porca. O oposto também se aplica, chamado de retroacionamento.
Em termos gerais a eficiência é a medida do trabalho de saída menos o de entrada, nesse caso é o produto do torque com o deslocamento angular, desse modo:
Com o intuito de reduzir o atrito é utilizado um trem de esferas que são moldadas no filete da rosca, sendo seu coeficiente de atrito semelhante ao das esferas com rolamento, vale ressaltar que não são autotravantes.
Um dos modos mais comuns de falha são as tensões de cisalhamento, onde os filetes são rasgados quando aplicados forças altas, sendo algum deles, ou os dois (porca e parafuso), de material mais fraco e que haverá conformidade de desgaste.
Quando há um aperto do parafuso na porca, gera uma transmissão de torque (tensão de torção), podendo torcer o parafuso dependendo do atrito com a porca, se há lubrificação, menor torque será transmitido para o parafuso e será absorvido pela porca, porém se a porca estiver agarrada por causa da ferrugem, todo o torque irá ficar no parafuso podendo fazê-lo “quebrar”.
O mesmo parafuso pode receber diferente nome dependendo de sua aplicação, se necessário a utilização de porca para fixação pode ser chamado de parafuso de porca, já se não for necessário e sua aplicação for direta recebe o nome de parafuso de máquina.
Parafuso tipo prisioneiro é aquele com rosca em ambas as partes e sem cabeça podendo ter passo igual ou diferente.
Parafuso de atarrachar é aquele que “faz seu próprio caminho”, fazendo rosca por onde passa.
Parafusos de cabeça são aqueles com “cabeça” de alguma forma, de fenda, phillips entre outros, sendo esses dois os mais usados para os tipos de atarrachar.
Parafuso de cabeça com encaixe são fabricados de aço e resistem a um torque mais elevado.
Arruelas são simples partes planas com formato de anel para aumentar a área de contato da cabeça.
Existe algumas maneiras de fazer uma rosca, uma delas é utilizar ferramentas chamada tarracha que tem a forma do filete da rosca desejada e assim moldando enquanto passa pelo material.
Para algumas aplicações mais intensas e até mesmo pesada é necessário parafusos de alta resistência e devem ser escolhidos com base na resistência de prova.
Uma das principais funções de parafusos e porcas é de unir/juntar peças que irão trabalhar em situações de tração e é comum o aperto das juntas com toque suficiente para gerar um pré-carga, assim para montagens estáticas é recomendado uma tensão de aproximadamente 90% do valor de corpo de prova, já em montagens dinâmicas esse valor pode ser de 75%. Em algumas situações a utilização de uma pré-carga se vê vantajosa como forma de prevenir problemas de tração e de “proteger” o conjunto.
Assumindo que, de forma genérica, a aplicação de uma pré-carga na junta atue como uma “mola” e com a aplicação da força externa essa “mola” irá absorver maior parte da força aplicada, levando em consideração que o material é mais rígido do que o parafuso, caso a força externa P for maior do que a carga Fi, ocorrerá a separação do conjunto. Em termos gerais, se o parafuso não falhar na pré-carga então provavelmente não irá falhar em operação.
-Parafusos Pré-Carregados sob Carga Dinâmica.
Unindo as equações temos:
TL é a chapa com o modulo de Young mais baixo;
TH é a chapa com o modulo de Young mais alto;
-Juntas com Duas Chapas de mesmo Material.
Nesse caso os estudos se basearam em parâmetros de junta (0,1 a 2,0) e r (0,35 a 1,0). Obtendo a equação da curva mais aproximada dos dados achados:
Devido a sua importância no projeto é necessário ter uma forma de medir a quantidade de carga aplicada, um desses métodos é o torquímetro que, além de ser mais prático, pode ter uma margem de erro de 30% e em casos de lubrificação pode ser reduzido. Esse toque necessário pode ser medido pela equação:














Nenhum comentário:
Postar um comentário